欢迎来到竞技宝测速网来哈哈电竞 官网!
技术支持
竞技宝电竞官网首页登录 的不确定度分析 
发布时间:2022-04-20 09:04:04
1.竞技宝电竞官网首页登录 标准装置的不确定度u,(m,) 
  标准装置的不确定度等级为ur(ms)=0.2%,按正态分布,k=2,则 
ur(ms)=0.2%/2=0.1% 
灵敏系数cr(ms)=მE1/მns=-1.02 
2.被检流量计显示值的不确定度u,(m) 
  由于所选涡街为流量积算仪加涡街流量传感器的形式,此方式也为当前大多数生产厂家所采用,这里需要将流量传感器与流量积算仪的不确定度共同作为 
  被检流量计显示值的不确定度“[1]。 
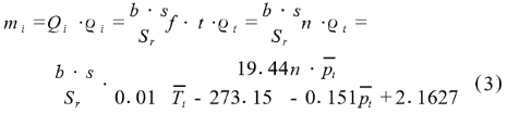
(1)数学模型 
 
  式中:b为阻流件的宽度,m;`u为流经流量计的流体平均流速,m/sf为旋涡的频率,Hz,Sr为斯特罗哈尔数;Qt为检定期间流过流量计的累积量,m³;s为流量计的流通面积,m²;t为检定时间,so 
 
  式中:ϱi;为检定期间流经流量计的蒸汽密度,kg/m³;`P,为检定期间流经流量计的蒸汽平均压力,MPa;`Tt为检定期间流经流量计的蒸汽平均温度,K。 
 
  式中:mt为检定期间流经流量计的蒸汽累积质量,kg;n为检定期间流经流量计输出脉冲数。 
  所以取0.9MPa,250℃蒸汽条件下,灵敏系数cr(`pt)=1.03;cr(`Tt)=-0.5523;cr(n)=1。 
(2)不确定度来源分析[2] 
①用于流量计密度计算的绝压变送器的不确定度ur,p; 
②用于流量计密度计算的温度变送器的不确定度ur,T; 
③被检流量计各流量点误差重复性ur,E,; 
④被检流量计的平均误差标准偏差ur,E。 
(3)标准不确定度分量评定 
①流量计密度计算的绝对压力变送器的不确定度ur,(p) 
  选择压力变送器允许误差0.1%,压力变送器在满量程的2/3处使用,按矩形分布考虑。 
 
④被检流量计的平均误差的标准偏差u,`E 
 
  在用蒸汽量为100kg的条件下,对竞技宝电竞官网首页登录 各个流量点进行测量,测量结果见表1。 
 
联系方式

手  机:13337963090

固定电话:0517-86500336 86500226

邮  箱:jshdyb@163.com

公司地址:江苏省金湖县工业园区

ICP备案号:苏ICP备10202569号-9

版权所有:Copyright @ 竞技宝测速网来哈哈电竞 2021-2025

客户服务热线

0517-86500336 86500226

在线客服
Baidu
map